电缆线路检测设备电缆故障测试仪的公式计算方法
导读:电缆故障测试仪(别称:电缆故障定位系统)用于测试电缆系统和其他形式的馈线,以检测并查明问题。
电缆故障测试仪被广泛用于可能需要测试的电缆长度过长或难以接近的任何区域,或者它们可能有故障。电缆故障测试仪也可以在印刷电路板上使用,以定位在那里可能出现的问题。

电缆故障测试仪的基础知识
尽管可以通过这种方式使用诸如网络分析仪之类的仪器来检查电缆的完整性,但是这些测试仪器非常昂贵且不易使用。对于许多应用而言,更好的方法是使用电缆故障测试仪技术和特定的测试仪器。这大大简化了操作并降低了测试仪器的成本。此外,许多电缆故障测试仪是专门为便携式操作而制造的,从而使它们可以在需要它们的场景中更轻松地使用,例如,可能在道路,路径等下运行的电信电缆。

电缆故障测试仪通过沿所属线路发送短脉冲来进行操作。在远端终止于所需的阻抗(即线路阻抗)的情况下,如果线路没有问题,则脉冲中的所有能量将沿着线路以传播速度行进,并在负载中耗散且没有反射将被观察到。
由此可见,电缆故障测试仪由脉冲发生器和采样器组成。采样器可以是在线上显示波形的示波器。实际上,通常会包含一些信号处理,以帮助定位生产线中的问题和问题。
但是,如果线路不连续,能量将被反射回反射仪,并在此被检测到。
在反射计内,可以假设返回脉冲电平的电压为Ei且反射脉冲的电平为Er来分析返回的脉冲。
可以看出,输出脉冲在采样器屏幕上注册。然后,脉冲沿线传播需要一定的时间。如果脉冲的所有功率被吸收,则将不会返回任何内容,并且采样器上的显示屏将不会显示任何变化。但是,如果重新上电,则会改变测试仪器上看到的波形的整体形状。
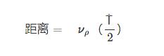
从电缆某处的断线到远端的匹配不良,可能有多种原因导致电源返回。时间延迟T将是波传播到失配点的时间延迟的两倍,即一起出站和返回时间。
采样器将不仅能够检测电平变化并能够计算失配,而且还可以计算出时间差,从该时间差可以计算出沿着存在不连续性的直线的距离。
定位电缆故障
电缆故障测试仪的关键点之一是它能够定位电缆中的故障。这是一个关键问题,如同轴电缆一样,电缆可能是密封的,可能看不到电缆的内部。同样,在将电缆埋在地下的情况下,可以定位任何故障,并挖出所需的孔以定位发生电缆问题的区域。

其中:
D =以米为
单位的距离νρ=以米/秒为单位的传播速度
T =从监视点到失配的传播时间(以秒为单位)。
这是一个很简单的计算,通常在时域反射计内进行,从而为用户提供了有关故障可能位于何处的良好指示。
主要问题是电缆内的传播速度。这可以通过测试已知长度的被测电缆并保持远端敞开来确定。
不匹配的性质
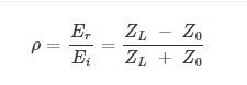
电缆故障测试仪不仅可以发现沿电缆发生故障或问题的位置,还可以发现许多有关其本质的信息。反射的脉冲使测试仪器能够看到失配的性质和大小。

其中:
ρ=反射系数
ZL =以欧姆为单位的负载阻抗
Z0 =以欧姆为单位的线路阻抗
根据反射以及Z0或ZL的知识,可以确定ZL或Z0。
对于任何测试,可以通过将已知负载(例如同轴电缆的备用长度等)放置在良好线路的末端来确定ZL,并由此确定电缆阻抗。在了解电缆阻抗的情况下,可以将其应用于被测电缆。
尽管TDR是一种专业的测试工具,但它已广泛用于各种行业,特别是在电信行业中,TDR是一种不可估量的工具。如果没有电缆故障测试仪,很难找到线路较长且难以接近的问题。
温馨提示:如果有需要试验变压器、变频串联谐振耐压装置、微机继电保护测试仪、电缆故障识别仪、电阻测试仪以及局部放电高压绝缘变压器断路器等电力试验设备的朋友可以随时联系我们在线客服或者电话咨询,价格优惠、保质保量!此篇文章介绍了电缆线路检测设备电缆故障测试仪的公式计算方法,希望能够帮助到大家!